next up previous
Next: About this document ...

18.02 Problem Set VI (really due Friday 3/19, 1:45PM, 2-106
since it is again late coming out, you can hand it in on Monday 3/29, before 12:00; my apologies to the graders.)

Part I:

Hand in the underlined problems; the others are for practice.


Lecture 16. Thurs. (March 11): Double and iterated integrals in rectangular coordinates.

Read EP 14.1-14.3. Concentrate on:

Lecture 18. Tues. (March 16): Double integrals in polar coordinates; applications.

Part II: (20 pt)

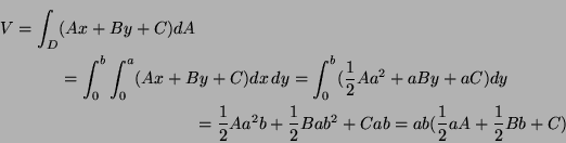
Problem 1. (Thurs. 3 pt) A rectangular prism is made by taking a long piece of wood with a rectangular cross-section, sawing off one end perpendicularly, and the other end at an arbitrary angle (so that the four edges have in general four different lengths). Show by double integration that

volume of prism $ =$ (cross-sectional area) $ \times$ (average of the four lengths).

[Place the prism as shown in the picture, and take $ z=Ax+By+C$ as the equation of the top surface.] Oops, fogot the picture. Oh well I hope is was reasonably clear anyway.

This formula can be thought of as generalizing the formula for the area of a trapezoid.

Solution: If the prism is placed as suggested, with sides in the three coordinate planes and sloping end of the form $ z=Ax+By+C$ then the volume of the prism is the integral over the rectangular region $ D,$ of the xy-plane where $ 0\le x\le a,$ $ 0\le y\le b,$ of $ Ax+By+C:$

\begin{multline*}
V=\int_{D}(Ax+By+C)dA\\
=\int_0^b\int_0^a(Ax+By+C)dx\,dy
=\in...
...\
=\frac12 Aa^2b+\frac12 Bab^2+Cab
=ab(\frac12 aA+\frac12 Bb+C)
\end{multline*}

The lengths of the four sides are $ C,$ $ Aa+C,$ $ Bb+C$ and $ Aa+Bb+C$ and indeed

$\displaystyle V=ab\times\frac14[C+(Aa+C)+(Bb+C)+(Aa+Bb+C)].$    

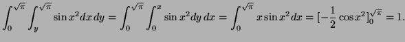
Problem 2. (Tues. 3 pt) Work Problem 32 EP page 901.

Solution: Change the order of integration - the region is a triangle and

$\displaystyle \int_0^{\sqrt\pi}\int_y^{\sqrt\pi}\sin x^2 dx\,dy= \int_0^{\sqrt\...
... x^2 dy\,dx= \int_0^{\sqrt\pi} x\sin x^2 dx= [-\frac12\cos x^2]_0^{\sqrt\pi}=1.$    

Problem 3. (Tues. 3 pt) A split log has a semi-circular cross-section, and a radius $ a$. A $ 45^\circ$ wedge-shaped piece is cut out of it. What is the volume of the piece? ( Hint: Calculate half the volume of something else.)

Solution: There is likely to be much confusion about this one, because I did not add a picture. Give full marks for any reasonable interpretation. I meant that the top surface of the log was $ x^2+z^2=a^2$ and it lies in $ z\ge 0,$ stretching in the y-direction. The prism was supposed to be $ 45^\circ$ in the xy-plane, in $ x\ge0$ - so between the lines $ y=x$ and $ y=-x.$ The volume is therefore twice the integral over $ 0\le x\le a,$ $ 0\le y\le x$ of $ \sqrt{a^2-x^2},$ i.e.

$\displaystyle \int_0^a\int_0^x\sqrt{a^2-x^2} dy\,dx= \int_0^ax\sqrt{a^2-x^2}dx=-\frac13(a^2-x^2)^{\frac3/2}\big]^a_0=a^3/3.$    

Thus the volume of the region is $ 2a^3/3.$

As I say, interpretation may differ on this one!

Problem 4. (Tues. 3 pt) Work Problem 18, EP page 913.

Solution: Change to polar coordinates, the main problem is to find the limits of integration. The region is $ 0\le y\le \sqrt{2x-x^2}$ restricted by $ 1\le x\le 2.$ The condition $ y^2\le 2x-x^2,$ means $ (x-1)^2+y^2\le 1.$ This is the circular region with center $ (1,0)$ and radius $ 1.$ Thus the region of integration is a quarter of this disk - the upper right quarter. So the whole integral becomes, in polar coordinates

$\displaystyle \int_0^{\frac\pi4}\int_{\sec\theta}^{2\cos\theta} \frac1r rdr\,d\theta =\int_0^{\frac\pi4}(2\cos\theta-\sec\theta)d\theta =\sqrt2-\ln(\sqrt2+1).$    

Don't take off too many marks for getting the last integral wrong.

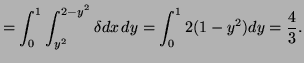
Problem 5. (Tues. 3 pt) Find the centroid (center of gravity) of the plane lamina lying between the parabolas $ y^2=x$ and $ y^2=2-x$, if the density function is $ \delta (x,y)=x$.

Solution: By symmetry the centroid must lie on the x-axis, so we only need to compute $ \bar x$ - we can compute this for the upper half, since it will have the same $ \bar x.$ We can set $ \delta =1$ since it will cancel, thus

Mass$\displaystyle =\int_0^1\int_{y^2}^{2-y^2}\delta dx\,dy=\int_0^12(1-y^2)dy=\frac43.$    

The moment in the x-direction is

$\displaystyle \int_0^1\int_{y^2}^{2-y^2}x^2 dx\,dy=\int_0^1\frac13[8-12y^2+6y^4-2y^6] dy =\frac13[4+\frac{32}{35}].$    

Thus $ \bar x=1+8/35=43/45$ - which looks about right since it should be just a bit to the right of $ 1.$

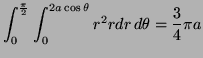
Problem 6. (Tues. 3 pt) Find the moment of inertia of a thin circular plate of radius $ a$ and density $ 1$ about

a)
an axis through a point on its circumference, perpendicular to the lamina;

b)
an axis tangent to a point on its circumference, in a plane of the lamina.

(Hint: In both cases place the point at the origin and place the circle so a diameter lies along the $ x$-axis. Use polar coordinates. There are integral tables in the front and back cover of your book which use can use.)

Solution:

a)
This is the polar moment. For top half only

$\displaystyle \int_0^{\frac\pi2}\int_0^{2a\cos\theta} r^2rdr\,d\theta=\frac34\pi a$    

So for the whole thing the moment is $ \frac32\pi a.$

b)
Moment of inertia about the y-axis, again for top half only is

$\displaystyle \int_0^{\frac\pi2}\int_0^{2a\cos\theta} (r^2\cos^2\theta)rdr\,d\theta=\int_0^{\frac\pi2} \frac{(2a)^4}4\cos^6\theta d\theta=\frac58\pi a^4.$    

So the moment for the whole plate is $ \frac54\pi a^4.$




next up previous
Next: About this document ...
Richard B. Melrose
1999-03-29